Hilfe bei Eigenentwicklung eines Schaltplans

Willkommen! Melde dich an und mach mit – schreiben, antworten, austauschen.
Jetzt registrieren

  • Das hier ist die Anleitung der AA. http://cdn.instructables.com/F…46WG5IGJQE90QO.MEDIUM.jpg
    Da geht das Pinke zum Zündschloss. Aber bei der Simson wird ja anders Unterbrochen und das Zündschloss dafür nicht ausgelegt. Soweit ich das noch weiss, werden 2 Adern im Alarmfall mit einem integrierten Relai unterbrochen. Du hattest ja weiter vorne ein Universal Zündschloss bei Ebay verlinkt. Auf das müsste ich ja dann zurück greifen, oder? Sprich 2 Kreise (Zündung und Schaltplus) beide Unterbrochen wenn aus. Das Braun-Weisse bleib dann isoliert nicht angeschlossen.
    Richtig?


    Kannst du mal ein Link zu Batterieanzeige posten? Hast du zufällig auch solch eine Warnblinkschaltung parat? Die von Warnblinker.eu ist mit 40€ nicht grad billig, aber fertig und schön klein. Bis jetzt meine favorisierte Lösung.

  • Warnblinker


    Störe dich nicht an der Hupe, einfach Ignorieren


    Die Dioden sind vom Typ BY 550-50 kosten je 20 CENT der Schalter kann bis zu 10 Euro kosten


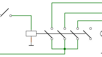
    vereinfachte Handskizze
    links Blinkgeber der davon rechts liegende eingekästelte Schalter ist der Lenker Schalter
    der unterste Schalter ist der zusätzliche Schalter für den Warnblinker

  • Nein du musst nicht auf ein anderes Zündschloss zurückgreifen, wenn du nicht möchtest.
    Das war nur eine Überlegung meinerseits, falls du kein ZS hättest oder nur "ein/aus" schalten möchtest.
    (Aber dieses ZS ließe sich sauber in die Front einarbeiten, ohne den Schrauben)


    ---


    Nein, da sind die AC-Zündungen alle gleich => Man schließt entweder den Geber oder die Z-Ladespule kurz, damit die Zündung aus ist. (Die VAPE hat ja trotz DC-Umbau noch den Z-Ladeanker für die Zündung in Verwendung)
    (Das Kabel von der 2)


    Der richtige Anschluss von pink und grau ist wichtig, damit bei Alarm die Zündung selbst bei eingeschalteter Zündung +ber das Relais in der AA unterbrochen wird.


    Das ist nur möglich, wenn Pink zum ZS auf Klemme 2 und grau zum Geber geht.


    ---


    Die anderen Kabelfarben der AA sind soweit alle korrekt angeschlossen, soweit ich es sehe


    ---


    Warnblinkschaltungen...


    Schlicht und einfach ein (lastunabhängiges) Blinkrelais für 4 Blinker verwenden und über Dioden (Richtung Blinker) einkoppeln.
    Warnblinkkontrolle noch vor den Dioden aus einer der beiden WB-Leitungen herausführen.


    Als Alternativen hätte ich folgende Schaltungen anzubieten:



    oder diese:




    ---


    Ladekontroll-Ersatzschaltung:


    http://www.electroschematics.c…ry-low-voltage-indicator/


    Einstellen auf 12,2 - 12,7V (optimal 12,4V)


    => Ist die Batterie leerer als der eingestellte Schwellwert der Schaltung, geht die LED an.
    Steigt die Spannung (Lima oder Batterie) über den Schwellwert an, geht die LED aus.


    Du hast also nur eine Kontrolle über den Ladezustand der Batterie, wenn der Motor im Standgas dreht und die Batterie die Hauptlast der Stromversorgung trägt.
    Oberhalb liefert ja die Lima den benötigten Saft (und lädt die Batterie auf).
    Bleibt die Ladekontrolle also auch bei leicht höheren Drehzahlen (als gewohnt) an, geht aber nach einem Augenblich dann doch aus, heißt das, dass die Batterie (noch) zu wenig Spannung hat und Ladung benötigt - die Batteriespannung unter der eingestellten Schwellspannung ist.
    Im Normalfall kein Problem, da du ja hochtourig fahren kannst.
    Bleibt die Kontrolle aber permanent an, so ist der Ladezweig unbedingt auf Unterbrechung zu kontrollieren.


    ===


    Nochmals AA:


    Diese Gehäuseart ist das von mir genannte "Becher-Gehäuse".


    Aber keine Panik! - Das heißt nicht automatisch, dass die Elektronik nicht wasserdicht verpackt ist (Dichtung zwischen Deckel und Gehäuse, eingeschweißte oder eingegossene Kabeldurchführung).
    Wie gesagt, es gibt Wasserdichte und auch nicht Wasserdichte Ausführungen bei diesen Gehäusen.


    Klar, dass bei der nicht Wasserdichten Ausführung Wasser eindringen kann, wenn sie z.B. quer oder mit den Kabeln nach oben verbaut wird... => Das Gehäuse läuft mit der Zeit voll und das Wasser erreicht die Bauteile auf der Platine => höherer Ruhestrom und/oder Fehlalarme wären die Folge.


    Das Schlimme ist dabei sogar, dass selbst bei den vermeintlich wasserdichten AAs das Wasser durch die Kabel (entlang der Kupferseele) eindringen kann.


    Aber diese AAs haben auch den Vorteil, dass wenn man ein defektes Bauteil innerhalb der AA hat, diese am Deckel mit der Kabeleinführung öffnen kann und somit die Platine in der Hand hat, um das Bauteil zu wechseln.


    ===


    @Colonell: Den Schalter bitte rechts vom Abzweig zur Hupe anordnen, damit sie nicht nur bei WB funktioniert.

    Gruß Frank


    :kopfkratz: Was ist eigentlich Elektrizität? :kopfkratz:


    Morgens mit Hochspannung aufstehen,
    mit Widerstand zur Arbeit gehen,
    den ganzen Tag gegen den Strom schwimmen,
    abends geladen nach Hause kommen,
    an die Dose fassen
    und eine gewischt bekommen!


    :a_bowing: DAS ist Elektrizität! :a_bowing:
    :whistling:

    Einmal editiert, zuletzt von DUO78 ()

  • Ich denke, ich werde die Warnblinkanlage kaufen. Vorteil ist, das die Warnblinker nur angeschaltet werden können wenn die Zündung an ist und nach dem Ausschalten der Zündung weiter läuft, bis man sie abstellt oder die Batteriespannung zu niedrig wird..


    Ich gehe stark davon aus das die AA sauber verarbeitet ist. Das Modell kostet knapp 100€.


    Das mit der Zündunterbrechung hab ich noch nicht ganz verstanden. Die AA trennt doch bei Alarm die Kontakte mit einem Relai. Das Braun-Weise Kabel wird aber auf Masse gelegt zum Abschalten.

  • Nicht ganz.


    In der AA hast du Relais, mit dem über Fernbedienung über das erste Relais die Zündung ein/aus geschalten (Schließer) und gleichzeitig über das Zweite Relais der Zündunterbrecher geöffnet/geschlossen wird (Öffner).


    Im Alarmfall wird hier aber durch ein drittes Relais die Masse direkt auf grau gelegt (egal, ob die Zündung durch das ZS oder die AA eingeschalten wurde), wodurch das Zündsignal kurzgeschlossen wird.


    ===


    AA-Zeichnung:
    Eine 2-Wege-AA! - Also kein Wunder, dass diese AA teuer war.
    (Derzeitige Angebote für den gleichen oder ähnlichen Typ für um die 80 Euro in der Bucht => http://www.ebay.de/itm/Profi-A…c1d471:g:VxgAAOSwB09YNWUu)


    Ne, diese AA ist Wasserdicht.
    Kritisch wird es nur, wenn die Dichtung einreißt oder sich der "Deckel" sich zu wölben beginnt (Mittig weiter absteht, als außen)

    Gruß Frank


    :kopfkratz: Was ist eigentlich Elektrizität? :kopfkratz:


    Morgens mit Hochspannung aufstehen,
    mit Widerstand zur Arbeit gehen,
    den ganzen Tag gegen den Strom schwimmen,
    abends geladen nach Hause kommen,
    an die Dose fassen
    und eine gewischt bekommen!


    :a_bowing: DAS ist Elektrizität! :a_bowing:
    :whistling:

  • Du brauchst für den Warnblinker nur 1 Relais mit 2 kontakten und eine extra diode.
    Das Relais fällt bei Unterspannung von ganz alleine ab und die Stellung des Zündschalters ist auch egal wenn das erstmal in Selbsthaltung ist. Die extra Diode entkoppelt den Rest des Mopeds vom Warnblinker.
    S1 ist der Schalter für den Warnblinker.
    Leider kein CAD programm :p Aber ne Schmierzeichnung tut es auch, ist ja einfach.

  • Ja, auch das geht, solange der BG selber auf die bei Warnblink leuchtenden Leuchten ausgelegt (oder halt Lastunabhängig) ist.
    Da gibt es ja viele Schaltungsmöglichkeiten... Wichtig sind nur die beiden Dioden zum entkoppeln der Blinkerkreise.
    Unterstützt der BG nicht die Anzahl der Leuchten, muss halt ein Relais zusätzlich verbaut werden, um alle Leuchten schalten zu können...


    Interessant wäre aber, wie man eine separate, rot blinkende Einschaltkontrolle integriert (zwar kein MUSS, aber vielleicht "sicherer")




    (Das erinnert mich an unseren Mist, den wir damals gemacht hatten: einfach einen zusätzlichen Schalter zwischen R und L geschalten, Blinker gesetzt und dann noch auf die Hupe gedrückt => "Taaaaa-tü-taaaaa-tü" - ...und schnell hatte die VP die ganze Clique auf'm Kieker :biglaugh: )

    Gruß Frank


    :kopfkratz: Was ist eigentlich Elektrizität? :kopfkratz:


    Morgens mit Hochspannung aufstehen,
    mit Widerstand zur Arbeit gehen,
    den ganzen Tag gegen den Strom schwimmen,
    abends geladen nach Hause kommen,
    an die Dose fassen
    und eine gewischt bekommen!


    :a_bowing: DAS ist Elektrizität! :a_bowing:
    :whistling:

  • Die Sache mit der Warnblinkanlage werde ich kaufen (warnblinker.eu). Bei Elektronik bin ich absolut nicht fit. Für solch einen Schaltplan vom Moped, wo es kaum/keine elektronischen Bauteile gibt, komme ich noch klar. Alles andere ist mir zu fremd zum Verstehen.


    Das mit der Alarmanlage habe ich jetzt bestimmt wieder falsch. Sorry :dash:


    Die Sache mit dem Relais, Laderegler und Steckdose habe ich noch mal angepasst. Die Sicherung sas vor dem Relai, so das bei laufenden Motor die Steckdose nicht mehr abgesichert war. Die Sicherung ist jetzt in die Zuleitung der Steckdose gewandert. Zusätzlich habe ich eine Sicherung an den Batterieausgang gesetzt, damit auch die Ladeanlage abgesichert ist.


    Bitte noch ein letztes mal drüber schauen. Habe die Kabel beschriftet und somit den Plan fertig (bis auf die 2 Adern der AA). Ich habe mich auch dazu durch gerungen den Kabelbaum aus drei Mehrfachkabeln zwischen Herzkasten und Front aufzubauen. Die Kabelfarben habe ich entsprechend angepasst. Dadurch gibt es zwar doppelte Farben, aber das sollte kein großes Problem sein.
    Die 5er Kabel haben 1mm², die 7er 1,5mm². Das sollte ausreichend groß dimensioniert sein. Ich habe die Dioden, welche bei der AA bei waren umgesetzt, so das der Blinkgeber geschützt ist, egal wo und womit ich die Blinker zusätzlich ansteure.
    Eine Ader ist dann noch frei (z.b. für die Sache mit der AA).


    Edit:
    Ganz vergessen. Die Stecker, welche ich neu Einbaue (also alle ausser die der Vape) habe ich farblich aufgeteilt. Habe 2 Sätze der Louis Steckersets liegen. Da sind 2er, 4er und 6er Verbinder drin. Eventuell besorge ich mir noch welche mit 8 Polen. Mehr brauch ich nicht.

  • Die Sache mit der Warnblinkanlage werde ich kaufen (warnblinker.eu). Bei Elektronik bin ich absolut nicht fit. Für solch einen Schaltplan vom Moped, wo es kaum/keine elektronischen Bauteile gibt, komme ich noch klar. Alles andere ist mir zu fremd zum Verstehen.


    ernsthaft jetzt ? 40 Euro für ein fertiges System was sich normalerweise für einen Bruchteil dessen realisieren lässt ...

  • Also eine WBA ist doch ganz einfach zu realisieren...


    Also nochmal nachgedacht:
    Du verbaust ganz einfach einen Lastunabhängigen BG mit 1-100W. => Damit kannst du also 1, 2 ... 50 und mehr LED-Blinkleuchten betreiben.
    Also koppelst du vom BG kommend auf der 49a mit einen Schalter die WBA aus (Blinkerschalter und WBA-Schalter liegen Parallel), 2 Kabel an den Schalter-Ausgang angeklemmt und an dessen Enden in die Blinkerleitung über jeweils eine Diode eingekoppelt.
    Koppelst du am Schalter jedoch 3 Kabel aus, setzt an das dritte Kabel eine rote Kontrollleuchte, hast du auch gleich die WBA-Kontrolle.


    ---


    Die Dioden der AA waren eigentlich zum Einkoppeln der AA in die Blinkerleitung gedacht. (können verbaut werden - müssen es aber nicht)


    Ansonsten ist die AA (soweit ich es erkennen kann) richtig eingebunden.


    ---


    Ich habe jetzt nicht den gesamten Schaltplan überprüft...

    Gruß Frank


    :kopfkratz: Was ist eigentlich Elektrizität? :kopfkratz:


    Morgens mit Hochspannung aufstehen,
    mit Widerstand zur Arbeit gehen,
    den ganzen Tag gegen den Strom schwimmen,
    abends geladen nach Hause kommen,
    an die Dose fassen
    und eine gewischt bekommen!


    :a_bowing: DAS ist Elektrizität! :a_bowing:
    :whistling:

    Einmal editiert, zuletzt von DUO78 ()

  • ernsthaft jetzt ? 40 Euro für ein fertiges System was sich normalerweise für einen Bruchteil dessen realisieren lässt ...


    Ja.


    Natürlich geht das auch ganz einfach. Hab ja noch den Motor Ausschalter frei. Damit könnte ich einfach den Ausgang Des Blinkgebers mit beiden Blinkerseitenverbinden und gut.


    ABER.
    Das Modul für 40€ (ja kostet etwas) kann nur Eingeschaltet werden wenn die Zündung an ist. Ist die Warnblinkanlage aktiv, kann die Zündung ausgeschaltet und der Schlüssel abgezogen werden. Die Warnblinkanlage läuft weiter. Ausschalten läst sich die Anlage immer. Einschalten nur mit Zündung.
    Dazu ist das ganze schon fertig Vergossen mit Stecker und Kabel versehen.
    Daher halte ich den Preis für gerechtfertigt.


    Ich möchte das wenn schon, dann richtig aufbauen. Daher mach ich mir auch so viel Arbeit mit dem Schaltplan.

  • Das Modul für 40€ (ja kostet etwas) kann nur Eingeschaltet werden wenn die Zündung an ist. Ist die Warnblinkanlage aktiv, kann die Zündung ausgeschaltet und der Schlüssel abgezogen werden. Die Warnblinkanlage läuft weiter. Ausschalten läst sich die Anlage immer. Einschalten nur mit Zündung.


    Wäre 'ne einfache Selbsthaltung über ein 12V-Relais mit mehreren Kontakten...
    Start bei eingeschalteter Zündung (15/51) => Relais schaltet den BG auf "Batteriestrom" um und hält sich selber (unabhängig, ob nun die Zündung ein oder ausgeschalten ist) auf Batteriestrom.
    Um Auszuschalten benötigt es nur einen Öffner als Taster... => Kurz antippen und aus ist die WBA.


    :a_bowing:

    Gruß Frank


    :kopfkratz: Was ist eigentlich Elektrizität? :kopfkratz:


    Morgens mit Hochspannung aufstehen,
    mit Widerstand zur Arbeit gehen,
    den ganzen Tag gegen den Strom schwimmen,
    abends geladen nach Hause kommen,
    an die Dose fassen
    und eine gewischt bekommen!


    :a_bowing: DAS ist Elektrizität! :a_bowing:
    :whistling:

Jetzt mitmachen!

Sie haben noch kein Benutzerkonto auf unserer Seite? Registrieren Sie sich kostenlos und nehmen Sie an unserer Community teil!